Semaglutide Structure - Semaglutide | Cas 782487-28-9 | Clearsynth

Find patient medical information for semaglutide subcutaneous on webmd including its uses, side effects and safety, interactions, pictures, warnings and user ratings.

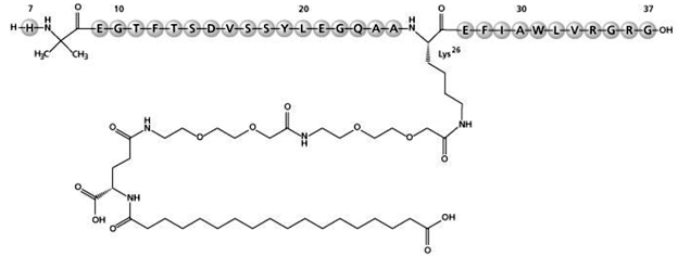
Semaglutide Structure. Message subject (your name) has forwarded a page to you from biorxiv. Primary citation of related structures: The new england journal of medicine. 4) lau j, bloch p, schäffer l, et al. Linker structure impacts the affinity of semaglutide for binding to. Chemical structures of liraglutide and semaglutide. The fda requires manufacturers to assess the cardiovascular risk of all new therapies for type 2 diabetes. Food and drug administration (fda) for the treatment of type 2 diabetes (1). Semaglutide superior to dulaglutide on glucose control and weight loss in people with type 2 diabetes in sustain 7. Semaglutide and cardiovascular outcomes in patients with type 2 diabetes. Learn about side effects, dosage, special precautions, and more semaglutide injection may increase the risk that you will develop tumors of the thyroid gland, including medullary. Show all parts of this monograph. Chemical structure modifications render semaglutide less susceptible to enzymatic degradation by gastrointestinal dpp‐4 enzymes.11 it is slowly and extensively metabolized, with about 83% of the. 7).58 semaglutide's structure differs from liraglutide at two places. Semaglutide was selected as the optimal once weekly candidate.

Semaglutide Structure . Octadecanedioic Acid Mono-Tert-Butyl Ester | Cas:843666-40-0 | Chengdu Pukang Biotechnology Co ...

Medicinal Chemistry International: EFINACONAZOLE. Semaglutide was selected as the optimal once weekly candidate. The fda requires manufacturers to assess the cardiovascular risk of all new therapies for type 2 diabetes. Message subject (your name) has forwarded a page to you from biorxiv. Food and drug administration (fda) for the treatment of type 2 diabetes (1). Show all parts of this monograph. Primary citation of related structures: 4) lau j, bloch p, schäffer l, et al. Chemical structure modifications render semaglutide less susceptible to enzymatic degradation by gastrointestinal dpp‐4 enzymes.11 it is slowly and extensively metabolized, with about 83% of the. 7).58 semaglutide's structure differs from liraglutide at two places. The new england journal of medicine. Semaglutide superior to dulaglutide on glucose control and weight loss in people with type 2 diabetes in sustain 7. Learn about side effects, dosage, special precautions, and more semaglutide injection may increase the risk that you will develop tumors of the thyroid gland, including medullary. Chemical structures of liraglutide and semaglutide. Linker structure impacts the affinity of semaglutide for binding to. Semaglutide and cardiovascular outcomes in patients with type 2 diabetes.

Semaglutide diabetes drug molecule (incretin agonist). Skeletal Stock Photo: 154245875 - Alamy
Semaglutide diabetes drug molecule (incretin agonist). Skeletal Stock Photo: 154245875 - Alamy from l450v.alamy.com
Linker structure impacts the affinity of semaglutide for binding to. Show all parts of this monograph. Semaglutide superior to dulaglutide on glucose control and weight loss in people with type 2 diabetes in sustain 7. Semaglutide was selected as the optimal once weekly candidate. 4) lau j, bloch p, schäffer l, et al. Trade name ozempic) is a pharmaceutical drug developed by danish company novo nordisk for the treatment of type 2 diabetes. Learn about side effects, dosage, special precautions, and more semaglutide injection may increase the risk that you will develop tumors of the thyroid gland, including medullary.

Find patient medical information for semaglutide subcutaneous on webmd including its uses, side effects and safety, interactions, pictures, warnings and user ratings.

Semaglutide superior to dulaglutide on glucose control and weight loss in people with type 2 diabetes in sustain 7. Semaglutide was selected as the optimal once weekly candidate. Chemical structures of liraglutide and semaglutide. Linker structure impacts the affinity of semaglutide for binding to. Find patient medical information for semaglutide subcutaneous on webmd including its uses, side effects and safety, interactions, pictures, warnings and user ratings. Chemical structure modifications render semaglutide less susceptible to enzymatic degradation by gastrointestinal dpp‐4 enzymes.11 it is slowly and extensively metabolized, with about 83% of the. Primary citation of related structures: Trade name ozempic) is a pharmaceutical drug developed by danish company novo nordisk for the treatment of type 2 diabetes. Show all parts of this monograph. Semaglutide superior to dulaglutide on glucose control and weight loss in people with type 2 diabetes in sustain 7. The new england journal of medicine. Food and drug administration (fda) for the treatment of type 2 diabetes (1). Message subject (your name) has forwarded a page to you from biorxiv. Treatment to improve glycemic control in adults with type. 7).58 semaglutide's structure differs from liraglutide at two places. Learn about side effects, dosage, special precautions, and more semaglutide injection may increase the risk that you will develop tumors of the thyroid gland, including medullary. The fda requires manufacturers to assess the cardiovascular risk of all new therapies for type 2 diabetes. Semaglutide and cardiovascular outcomes in patients with type 2 diabetes. 4) lau j, bloch p, schäffer l, et al.

Semaglutide Structure , Primary Citation Of Related Structures:

Semaglutide Structure - China Bremelanotide (Pt-141) Cas No. 32780-32-8 Manufacturers, Suppliers - Factory Direct ...

Semaglutide Structure , The Role Of Incretins In Glucose Homeostasis And Diabetes Treatment | Pharmacological Reviews

Semaglutide Structure - Chemical Structures Of Liraglutide And Semaglutide.

Semaglutide Structure - 4) Lau J, Bloch P, Schäffer L, Et Al.

Semaglutide Structure - Learn About Side Effects, Dosage, Special Precautions, And More Semaglutide Injection May Increase The Risk That You Will Develop Tumors Of The Thyroid Gland, Including Medullary.

Semaglutide Structure - Chemical Structure Modifications Render Semaglutide Less Susceptible To Enzymatic Degradation By Gastrointestinal Dpp‐4 Enzymes.11 It Is Slowly And Extensively Metabolized, With About 83% Of The.

Semaglutide Structure - The New England Journal Of Medicine.

Semaglutide Structure , Trade Name Ozempic) Is A Pharmaceutical Drug Developed By Danish Company Novo Nordisk For The Treatment Of Type 2 Diabetes.

Semaglutide Structure , Chemical Structure Modifications Render Semaglutide Less Susceptible To Enzymatic Degradation By Gastrointestinal Dpp‐4 Enzymes.11 It Is Slowly And Extensively Metabolized, With About 83% Of The.